上海迅凯新材料科技有限公司

迅凯催化赢领催化新科技,加速催升高效益
优质催化剂,予人玫瑰香——迅凯催化技术在香料中间体中的应用
返回列表 来源: 迅凯催化 发布日期: 2020.07.16

β-苯乙醇是一种简单的芳香族伯醇,常温下为无色液体,具有淡雅、细腻而持久的玫瑰花香气,是我国规定允许使用的食用香料,用量按正常生产需要。主要用以配制蜂蜜、面包、桃子和浆果类等型香精。 也可用于调配玫瑰香型花精油和各种花香型香精,如茉莉香型、丁香香型、橙花香型等,几乎可以调配所有的花精油,广泛用于调配皂用和化妆品香精。此外,亦可以调配各种食用香精,如草莓、桃、李、甜瓜、焦糖、蜜香、奶油等型食用香精。

苯乙醇

图1. 环氧乙烷法

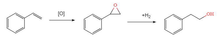
苯乙醇2

图2. 氧化苯乙烯加氢法

目前苯乙醇的主要化学合成法是环氧乙烷法(图1)和氧化苯乙烯加氢法(图2),国际市场上两种方法占比约为4:6。环氧乙烷法生产的产品所含微量杂质不同,香气差异较大,大多数不能用于香料,目前国内主要采用氧化苯乙烯加氢法,而环氧乙烷法生产的苯乙醇产品质量尚未达到标准。全球苯乙醇年产量近万吨,基本采用化学合成法。

随着原料成本的波动上涨以及下游市场的拓展,近几年苯乙醇的价格是在波动中上升,已从2012年的2.8万上涨到如今的4.9万,五年时间价格上浮75%,国内主要厂家采用的都就是氧化苯乙烯加氢法,目前加氢工艺均采用釜式间歇法,工艺相对落后。

迅凯催化利用自身优势,凭借多年在催化加氢领域的经验,对该加氢工艺进行了连续化改进的评价,选用釜式连续加氢工艺。该工艺是采用两釜至多釜串联进行加氢,连续进料,连续出料,催化剂连续分离,循环套用的工艺过程。在连续加氢过程中,温度恒定,氢气可循环利用,整个体系除出料进料外,其余环节皆封闭连续。

苯乙醇连续化工艺

图3. 釜式连续加氢工艺示意图

经评价,该工艺可使现有加氢工艺中存在的诸多问题得到大幅改善和解决,目前该项工作的工业化也在继续推进中:

产能:在现有装置上进行改造,可使产能翻番

催化剂消耗:减少催化剂损耗,催化剂成本下降50%

氢气消耗:可节省30%左右的氢气消耗

人工成本:大幅减低用工成本

其他:实现自动化,降低安全事故风险

连续化改进的工作所用到的催化剂为高活性雷尼镍催化剂,该催化剂具有活性高,强度高,易沉降的特点,起活温度可低至40-50℃,尤其适用于釜式串联加氢工艺,该产品已在国内多家企业实现工业化应用。依靠该产品优异的性能,用户可降低催化剂消耗,同时提高催化剂分离效率,节能降耗的同时,也实现了加氢的自动化生产。

该类型催化剂的吸氢指数可达15-16mL(H2)/ min.g(cat),远高于国内普遍的10左右的吸氢指数,并且表现出非常优异的低温活性,从而可以满足一些特殊反应的催化需求。

44-3粉末雷尼镍

此款催化剂已经在橡胶防老剂(RT培司硝基苯法)、染料中间体(H酸,间苯二胺,氨基油等)、医药中间体(甲基苯胺,二甲基苯胺等)、农药中间体(邻氯苯胺)等中有非常成熟的应用。

咨询热线

021-61659322