
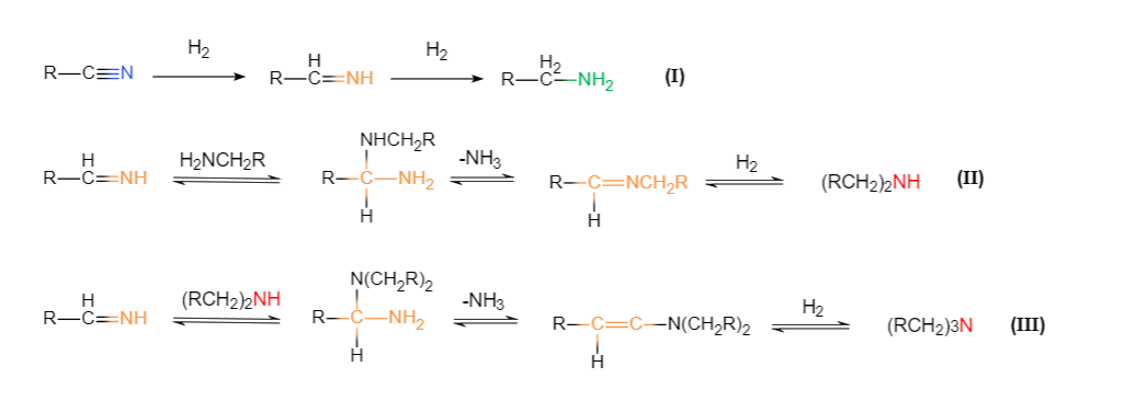
腈加氢制胺,是一种非常重要的生产有机胺类的工艺路线,广泛应用于脂肪胺、己二胺、癸二胺、间苯二甲胺、1.3-BAC等胺类化合物的生产。反应机理如下:

| 产品类型 | 特点 | 工艺 | 应用举例 |
RaneCAT-1200系
|
85%高镍含量、铬助剂 低温活性好 易沉降,套用次数高 |
釜式/环路 |
脂肪胺 间苯二甲胺 己二胺 癸二胺 IPDA |
RaneCAT-3900系
|
50%钴铝合金 颗粒状 强度高 无需通氢气还原 低温活性好 高伯胺选择性 |
固定床 | |
SNCAT-6000P系列
|
50%镍,特殊载体 粉末状 腈到仲胺的应用 |
釜式/环路 | |
CoCAT系列
|
30-50%钴,特殊载体 条状/圆柱状 干态,使用前通氢还原 高的伯胺选择性 |
固定床 |
1、催化剂分析评价和筛选;
2、催化剂现场装填和使用指导;
3、催化剂使用过程的问题解决;
4、帮助客户进行工艺优化和升级;
5、废催化剂回收服务;
服务热线
手机联系